Tags
Language
Tags
October 2025
Su Mo Tu We Th Fr Sa
28 29 30 1 2 3 4
5 6 7 8 9 10 11
12 13 14 15 16 17 18
19 20 21 22 23 24 25
26 27 28 29 30 31 1
    Attention❗ To save your time, in order to download anything on this site, you must be registered 👉 HERE. If you do not have a registration yet, it is better to do it right away. ✌

    ( • )( • ) ( ͡⚆ ͜ʖ ͡⚆ ) (‿ˠ‿)
    SpicyMags.xyz

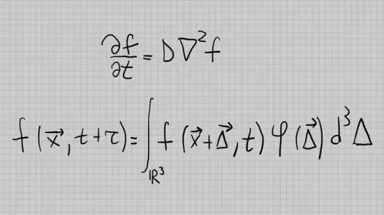
    Solving the Diffusion/Heat equation by Fourier Tranform

    Posted By: ELK1nG
    Solving the Diffusion/Heat equation by Fourier Tranform

    Solving the Diffusion/Heat equation by Fourier Tranform
    MP4 | Video: h264, 1280x720 | Audio: AAC, 44.1 KHz, 2 Ch
    Genre: eLearning | Language: English + srt | Duration: 8 lectures (1h 44m) | Size: 728 MB

    PDE solved by Fourier Transform (part 2)

    What you'll learn:
    How to use the Fourier Trasforms to tackle the problem of solving Partial Differential Equations (PDE)
    the physics and mathematics behind the diffusion process (related to particles contained in a fluid for example)
    Mathematical details about the usage of the Fourier Transform

    Requirements
    This course comes after my previous course: "Partial Differential Equations solved by Fourier Transform"
    Multivariable Calculus (especially: the Jacobian, the Laplacian, etc.)
    Complex Calculus (basics of Fourier series and residues could help)
    Calculus (especially: derivatives, integrals)

    Description
    This course aims to show how the Fourier Transform (FT) can be a powerful tool to solve Partial Differential Equations (PDE). The PDE that is treated in the course is the Diffusion/Heat equation. This equation is first derived from Physics principles described in the language of mathematics, then it is rigorously solved.

    The course is the second installment of: "Partial Differential Equations solved by Fourier Transform", which was previously published by the author. Therefore, it could be helpful to the student to already know the basics of those subjects treated in that course.

    Calculus and Multivariable Calculus are other necessary prerequisite to the course, especially the topics related to: calculation of derivatives and integrals, how to compute the gradient, the Laplacian of a function, spherical coordinates, the calculation of the Jacobian, etc.

    Some knowledge of residues used in Complex Calculus might be useful as well.

    Who this course is for
    Students who would like to know more about the solution to the diffusion/heat equation and its relation with the Fourier Tranform